FPGA based Digital World

Welcome to FPGA based Digital World.
Signal processing is much important. |
Discrete Fourier Series(DFS)
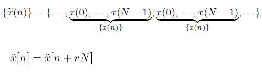
Extending signal series x(n) with n=0 to N-1 by periodic repetition every N samples, below periodic sequence is generated
where N is the fundamental period, as positive integer, r is integer.
The DFS and inverse DFS are defined as
DFS is used for frequency analysis of periodic, discrete time and infinite duartion signal.
From FS to DFS
DFS can be derived from the Fourier series, as follows.
According to FS,
Suppose each period of the signal is sampled with N points, then the x(t) becomes
It can be seen that frequency components of ~x(n) are
By defining
~x(n) becomes
which is the inverse DFS.
Properties of DFS
1 Periodicity
2 Linearity
3 Sequence Shift
4 Duality
5 Symmetry
6 Periodic Convolution
| Altera/Intel | Xilinx | Lattice | Learn About Electronics |
| MircoSemi | Terasic | Electric Fans |
| All rights reserved by fpgadig.org |